|
|
Extraordinary Council Meeting
30 September 2025 |
Proceedings of the Public Forum held on 22 September 2025 held at Ashfield Service Centre for the 30 September 2025 Extraordinary Council Meeting
Public Forum commenced at 6.35pm
|
Present: |
|
|
Darcy Byrne Mat Howard Izabella Antoniou Liz Atkins Olivia Barlow Andrew Blake Jo Carlisle Vicki Clay Jessica D’Arienzo Kerrie Fergusson Victor Macri Vittoria Raciti Philippa Scott Chloe Smith Simone Plummer |
Mayor Deputy Mayor Councillor Councillor Councillor Councillor Councillor Councillor Councillor Councillor Councillor Councillor Councillor Councillor General Manager Director Planning |
|
Ruth Callaghan |
Director Community |
|
Sharon Bowman Peter Shields Ryann Midei Matthew Pearce |
Director Corporate Director Engineering Director Property and Major Projects General Counsel |
|
George Georgakis Katherine Paixao |
Administration Manager Business Paper Coordinator |
Procedural Motion: (Smith/Scott)
That the ABC be given permission to film proceedings during the public forum.
Motion Carried
For Motion: Crs Antoniou, Atkins, Barlow, Blake, Byrne, Carlisle, Clay, D'Arienzo, Fergusson, Howard, Macri, Raciti, Scott and Smith
Against Motion: Nil
APOLOGIES:
Motion: (Byrne/Atkins)
That apologies from Councillor Tastan be accepted.
Motion Carried
For Motion: Crs Antoniou, Atkins, Barlow, Blake, Byrne, Carlisle, Clay, D'Arienzo, Fergusson, Howard, Macri, Raciti, Scott and Smith
Against Motion: Nil
DISCLOSURES OF INTEREST:
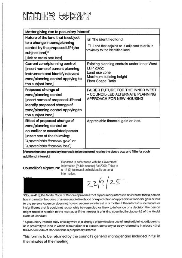
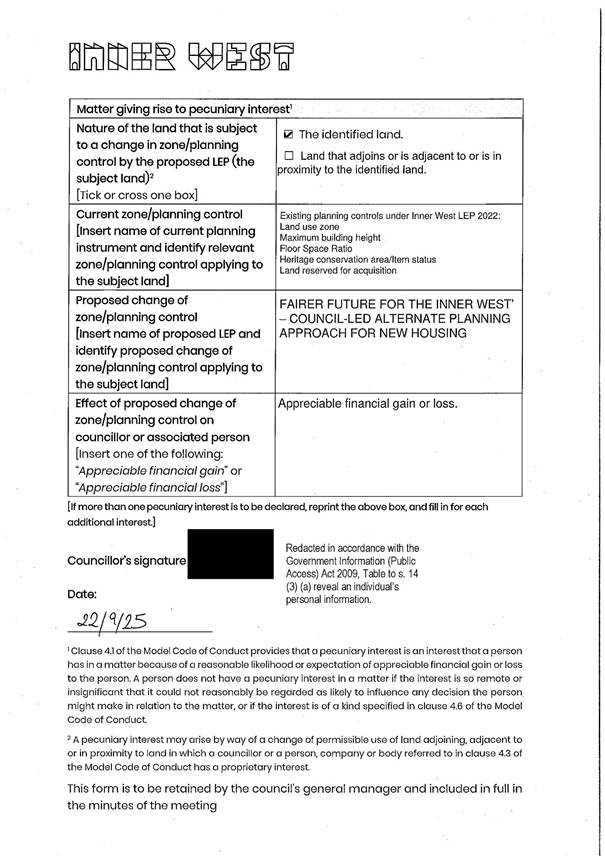
Councillor Blake declared a pecuniary interest in Item 1 Post Exhibition - Our Fairer Future Plan - Council's approach for new housing in the Inner West due to his principal residence being within the areas identified in Item 1. Due to the significant portion of the LGA that is impacted by the proposed reforms, he made, prior to this Public Forum, a Special Disclosure, in accordance with the Code of Conduct. This provides an exemption in this instance and as such he will remain in the Public Forum. He tabled his Special Disclosure tonight for inclusion in Council’s minutes. He will also make a further declaration when Council continues the Extraordinary Meeting on 30 September 2025, and he will remain in the Public Forum.
Councillor Atkins declared a pecuniary interest in Item 1 Post Exhibition - Our Fairer Future Plan - Council's approach for new housing in the Inner West due to their principal residence being within the areas identified in Item 1. Due to the significant portion of the LGA that is impacted by the proposed reforms, they made, prior to the Public Forum, a Special Disclosure in accordance with the Code of Conduct. This provides an exemption in this instance and as such they will remain in the Public Forum. They tabled their Special Disclosure tonight for inclusion in Council’s minutes. They will also make a further declaration when Council continues the Extraordinary Meeting on 30 September 2025, and they will remain in the Public Forum.
Councillor Barlow declared pecuniary interest in Item 1 Post Exhibition - Our Fairer Future Plan - Council's approach for new housing in the Inner West due to her principal residence and the principal residence of her associates being within the areas identified in Item 1. Due to the significant portion of the LGA that is impacted by the proposed reforms, she made, prior to this Public Forum, Special Disclosures, in accordance with the Code of Conduct. This provides an exemption in this instance and as such she will remain in the Public Forum. She tabled her Special Disclosures tonight for inclusion in Council’s minutes. She will also make a further declaration when Council continues the Extraordinary Meeting on 30 September 2025, and she will remain in the Public Forum.
Councillor Antoniou declared a pecuniary interest in Item 1 Post Exhibition - Our Fairer Future Plan - Council's approach for new housing in the Inner West due to her principal residence being within the areas identified in Item 1. Due to the significant portion of the LGA that is impacted by the proposed reforms, she made, prior to the Public Forum, a Special Disclosure in accordance with the Code of Conduct. This provides an exemption in this instance and as such she will remain in the Public Forum. She tabled her Special Disclosure tonight for inclusion in Council’s minutes. She will also make a further declaration when Council continues the Extraordinary Meeting on 30 September 2025, and she will remain in the Public Forum.
Councillor Raciti declared a pecuniary interest in Item 1 Post Exhibition - Our Fairer Future Plan - Council's approach for new housing in the Inner West due to her principal residence and the principal residence of her associates being within the areas identified in Item 1. Due to the significant portion of the LGA that is impacted by the proposed reforms, she made, prior to the Public Forum, Special Disclosures in accordance with the Code of Conduct. This provides an exemption in this instance and as such she will remain in the Public Forum. She tabled her Special Disclosures tonight for inclusion in Council’s minutes. She will also make a further declaration when Council continues the Extraordinary Meeting on 30 September 2025, and she will remain in the Public Forum.
Councillor Raciti declared a significant, pecuniary interest in Item 1 Post Exhibition - Our Fairer Future Plan - Council's approach for new housing due to property interests in Haberfield within the area identified in item 1. She will also make a further declaration when Council continues the Extraordinary Meeting on 30 September 2025, and she will remain in the Public Forum.
Councillor Macri declared a pecuniary interest in Item 1 Post Exhibition - Our Fairer Future Plan - Council's approach for new housing due the principal residence of his associates being within the areas identified in Item 1. Due to the significant portion of the LGA that is impacted by the proposed reforms, he made, prior to this Public Forum, Special Disclosures, in accordance with the Code of Conduct. This provides an exemption in this instance and as such he will remain in the Public Forum. He tabled his Special Disclosures tonight for inclusion in Council’s minutes. He will also make a further declaration when Council continues the Extraordinary Meeting on 30 September 2025, and he will remain in the Public Forum.
Councillor Macri declared a significant, pecuniary interest in Item 1 Post Exhibition - Our Fairer Future Plan - Council's approach for new housing due to property interests in Marrickville within the area identified in item 1. He will also make a further declaration when Council continues the Extraordinary Meeting on 30 September 2025, and he will remain in the Public Forum.
Councillor Smith declared a pecuniary interest in Item 1 Post Exhibition - Our Fairer Future Plan - Council's approach for new housing due to her principal residence and the principal residence of her associates being within the areas identified in Item 1. Due to the significant portion of the LGA that is impacted by the proposed reforms, she made, prior to this Public Forum, Special Disclosures, in accordance with the Code of Conduct. This provides an exemption in this instance and as such she will remain in the Public Forum. She tabled her Special Disclosures tonight for inclusion in Council’s minutes. She will also make a further declaration when Council continues the Extraordinary Meeting on 30 September 2025, and she will remain in the Public Forum.
Councillor Fergusson declared a pecuniary interest in Item 1 Post Exhibition - Our Fairer Future Plan - Council's approach for new housing due to her principal residence and the principal residence of her associates being within the areas identified in Item 1. Due to the significant portion of the LGA that is impacted by the proposed reforms, she made, prior to this Public Forum, Special Disclosures in accordance with the Code of Conduct. This provides an exemption in this instance and as such she will remain in the Public Forum. She tabled her Special Disclosures tonight for inclusion in Council’s minutes. She will also make a further declaration when Council continues the Extraordinary Meeting on 30 September 2025, and she will remain in the Public Forum.
Councillor Howard declared a pecuniary interest in Item 1 Post Exhibition - Our Fairer Future Plan - Council's approach for new housing due to his principal residence and the principal residence of his associate being within the areas identified in Item 1. Due to the significant portion of the LGA that is impacted by the proposed reforms, he made, prior to this Public Forum, Special Disclosures in accordance with the Code of Conduct. This provides an exemption in this instance and as such he will remain in the Public Forum. He tabled his Special Disclosures tonight for inclusion in Council’s minutes. He will also make a further declaration when Council continues the Extraordinary Meeting on 30 September 2025, and he will remain in the Public Forum.
Councillor Clay pecuniary interest in Item 1 Post Exhibition - Our Fairer Future Plan - Council's approach for new housing due to her principal residence being within the areas identified in Item 1. Due to the significant portion of the LGA that is impacted by the proposed reforms, she made, prior to this public forum, a Special Disclosure, in accordance with the Code of Conduct. This provides an exemption in this instance and as such she will remain in the Public Forum. She tabled her Special Disclosure tonight for inclusion in Council’s minutes. She will also make a further declaration when Council continues the Extraordinary Meeting on 30 September 2025, and she will remain in the Public Forum.
Councillor Scott declared a pecuniary interest in Item 1 Post Exhibition - Our Fairer Future Plan - Council's approach for new housing due to her principal residence and the principal residence of her associates being within the areas identified in Item 1. Due to the significant portion of the LGA that is impacted by the proposed reforms, she made, prior to this public forum, Special Disclosures in accordance with the Code of Conduct. This provides an exemption in this instance and as such she will remain in the Public Forum. She tabled her Special Disclosures tonight for inclusion in Council’s minutes. She will also make a further declaration when Council continues the Extraordinary Meeting on 30 September 2025, and she will remain in the Public Forum.
Councillor Carlisle declared a pecuniary interest in Item 1 Post Exhibition - Our Fairer Future Plan - Council's approach for new housing due to her principal residence being within the areas identified in Item 1. Due to the significant portion of the LGA that is impacted by the proposed reforms, she made, prior to this Public Forum, a Special Disclosure in accordance with the Code of Conduct. This provides an exemption in this instance and as such she will remain in the Public Forum. She tabled her Special Disclosure tonight for inclusion in Council’s minutes. She will also make a further declaration when Council continues the Extraordinary Meeting on 30 September 2025, and she will remain in the Public Forum.
Councillor Carlisle declared a significant, pecuniary interest in Item 1 Post Exhibition - Our Fairer Future Plan - Council's approach for new housing due to property interests in St Peters and Marrickville within the area identified in item 1. She will also make a further declaration when Council continues the Extraordinary Meeting on 30 September 2025, and she will remain in the Public Forum.
Councillor D’Arienzo declared a pecuniary interest in Item 1 Post Exhibition - Our Fairer Future Plan - Council's approach for new housing due to her principal residence and the principal residence of her associate being within the areas identified in Item 1. Due to the significant portion of the LGA that is impacted by the proposed reforms, she made, prior to this Public Forum, Special Disclosures in accordance with the Code of Conduct. This provides an exemption in this instance and as such she will remain in the Public Forum. She tabled her Special Disclosures tonight for inclusion in Council’s minutes. She will also make a further declaration when Council continues the Extraordinary Meeting on 30 September 2025, and she will remain in the Public Forum.
The Mayor, Councillor Byrne, declared a pecuniary interest in Item 1 Post Exhibition - Our Fairer Future Plan - Council's approach for new housing due to his principal residence and the principal residence of his associate being within the areas identified in Item 1. Due to the significant portion of the LGA that is impacted by the proposed reforms, he made, prior to the public forum, Special Disclosures in accordance with the Code of Conduct. This provides an exemption in this instance and as such he will remain in the Public Forum. He tabled his Special Disclosures tonight for inclusion in Council’s minutes. He will also make a further declaration when Council continues the Extraordinary Meeting on 30 September 2025, and he will remain in the Public Forum.
The Mayor, Councillor Byrne declared a significant, non-pecuniary interest in Item 1 Post Exhibition - Our Fairer Future Plan - Council's approach for new housing in respect of the Rozelle and Leichhardt as he has a close personal relationship with persons with property interests in Rozelle and Leichhardt. He considers this a significant, non-pecuniary interest as it is a personal relationship that does not involve a pecuniary interest for him for the purposes of the Code of Conduct, but could give rise to a perception that he might be influenced by a private interest when considering this matter. Out of an abundance of caution and in the interest of full transparency, he will leave the meeting during the discussion and voting on Item 1 regarding Rozelle and Leichhardt at the Extraordinary meeting on 30 September 2025.
The General Manager declared a significant, pecuniary interest in Item 1 Post Exhibition - Our Fairer Future Plan - Council's approach for new housing due to the principal residence of his associate being within the area identified in item 1. He advised Council that he has not participated in the preparation of the report or discussions in relation to Item 1. He will make a further declaration in the meeting on 30 September and will stay in the public forum.
The Director Community declared a significant, pecuniary interest in Item 1 Post Exhibition - Our Fairer Future Plan - Council's approach for new housing due to her principal residence being within the area identified in item 1. She advised Council that he has not participated in the preparation of the report or discussions in relation to Item 1. She will leave the meeting during discussion and voting on the matter. She will make a further declaration in the meeting on 30 September and will stay in the public forum.
Procedural Motion: (Byrne/Howard)
That the Sydney Morning Herald be given permission to take photographs during the public forum.
Motion Carried
For Motion: Crs Antoniou, Atkins, Barlow, Blake, Byrne, Carlisle, Clay, D'Arienzo, Fergusson, Howard, Macri, Raciti, Scott and Smith
Against Motion: Nil
PUBLIC FORUM
The registered speakers were asked to address the Public Forum. The list of speakers are available at the end of the minutes prior to the tabled Special Disclosures.
The Mayor, Councillor Byrne left the Public Forum at 8:16 pm and vacated the chair. The Deputy Mayor, Councillor Howard assumed the chair.
Councillor Blake left the Public Forum at 8:21 pm.
Councillor Blake returned to the Public Forum at 8:24 pm.
Councillor Clay left the Public Forum at 8:29 pm.
Councillor Clay returned to the Public Forum at 8:37 pm.
Councillor D'Arienzo left the Public Forum at 8:40 pm.
Councillor D'Arienzo returned to the Public Forum at 8:44 pm.
The Mayor, Councillor Byrne returned to the Public Forum at 8:44 pm. The Deputy Mayor, Councillor Howard vacated the chair and the Mayor, Councillor Byrne assumed the chair.
Councillor Scott left the Public Forum at 8:45 pm.
Councillor Scott returned to the Public Forum at 8:50 pm.
Councillor Barlow left the Public Forum at 8:52 pm.
Councillor Antoniou left the Public Forum at 8:55 pm.
Councillor Barlow returned to the Public Forum at 8:56 pm.
Councillor Raciti left the Public Forum at 8:57 pm.
Councillor Antoniou returned to the Public Forum at 8:58 pm.
Councillor Carlisle left the Public Forum at 9:01 pm.
Councillor Carlisle returned to the Public Forum at 9:04 pm.
Councillor Smith left the Public Forum at 9:08 pm.
Councillor Raciti returned to the Public Forum at 9:08 pm.
Councillor Smith returned to the Public Forum at 9:12 pm.
Councillor Macri left the Public Forum at 9:35 pm.
Councillor Macri returned to the Public Forum at 9:40 pm.
Councillor Howard left the Public Forum at 9:44 pm.
Councillor Howard returned to the Public Forum at 9:49 pm.
The Mayor, Councillor Byrne left the Public Forum at 9:54 pm and vacated the chair. The Deputy Mayor, Councillor Howard assumed the chair.
The Mayor, Councillor Byrne returned to the Public Forum at 10:07 pm. The Deputy Mayor, Councillor Howard vacated the chair and the Mayor, Councillor Byrne assumed the chair.
Councillor Atkins left the Public Forum at 10:19 pm.
Councillor Atkins returned to the Public Forum at 10:22 pm.
Meeting adjourned at 10:43 pm to recommence at 6:30 pm Tuesday, 30 September 2025 at Ashfield Service Centre.
Minutes of Extraordinary Council Meeting held on 30 September 2025 at Ashfield Service Centre
Meeting commenced at 6.30pm
** The public forum for this meeting was held on Monday 22 September 2025 at 6.30pm at Ashfield Service Centre.***
|
Present: |
|
|
Darcy Byrne Chloe Smith Izabella Antoniou Liz Atkins Olivia Barlow Andrew Blake Jo Carlisle Vicki Clay Jessica D’Arienzo Kerrie Fergusson Mat Howard Victor Macri Vittoria Raciti Philippa Scott Ismet Tastan Simone Plummer |
Mayor Deputy Mayor Councillor Councillor Councillor Councillor Councillor Councillor Councillor Councillor Councillor Councillor Councillor Councillor Councillor General Manager Director Planning |
|
Ruth Callaghan |
Director Community |
|
Sharon Bowman Peter Shields Ryann Midei Matthew Pearce |
Director Corporate Director Engineering Director Property and Major Projects General Counsel |
|
George Georgakis Gunika Singh Bernadette Balatbat Daniel East Katherine Paixao Carmelina Giannini |
Administration Manager Team Leader Planning Operations Strategic Planner Senior Manager Strategic Planning Business Paper Coordinator Executive Assistant to Director Community |
APOLOGIES AND REQUEST FOR REMOTE PARTICIPATION:
Nil
Procedural Motion (Howard/Atkins)
That Council, for the Extraordinary Council Meeting at which it will consider the Our Fairer Future Plan:
1. Not apply the restriction in clause 9.19 of the Code of Meeting Practice on the number of questions a councillor can ask in respect of an item on the agenda, to enable Councillors to ask multiple questions in respect of an item on the agenda.
2. Not apply the restriction in clauses 10.21-10.22 of the Code of Meeting Practice on the number of times a Councillor can speak to a motion or an amendment, to enable Councillors to speak on multiple occasions to a motion or amendment, however limit the number of times they may do so to 3 times.
3. Not apply the restriction on speaking times in clause 10.22 of the Code of Meeting Practice, to enable a Councillor to speak for longer than 2 minutes on a motion or amendment, and instead permit a Councillor to:
a) Speak for no longer than 5 minutes on the first occasion that the Councillor speaks to a motion or amendment; and
b) Speak for no longer than 2 minutes on any subsequent occasion that the same Councillor speaks to the same motion or amendment.
Motion Carried
For Motion: Crs Antoniou, Atkins, Barlow, Blake, Byrne, Carlisle, Clay, D'Arienzo, Fergusson, Howard, Macri, Raciti, Scott, Smith and Tastan
Against Motion: Nil
DISCLOSURES OF INTEREST:
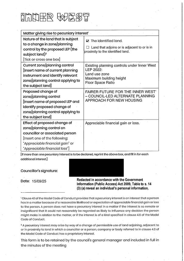
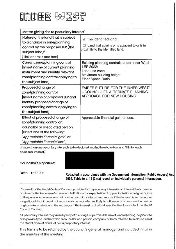
Councillor Blake declared a pecuniary interest in Item 1 Post Exhibition - Our Fairer Future Plan - Council's approach for new housing in the Inner West due to his principal residence being within the areas identified in Item 1. Due to the significant portion of the LGA that is impacted by the proposed reforms, he made, prior to the meeting, a Special Disclosure, in accordance with the Code of Conduct. This provides an exemption in this instance and as such he will remain in the Meeting during discussion and voting on the matter.
Councillor Tastan declared a pecuniary interest in Item 1 Post Exhibition - Our Fairer Future Plan - Council's approach for new housing in the Inner West due to his principal residence being within the areas identified in Item 1. Due to the significant portion of the LGA that is impacted by the proposed reforms, he made, prior to the meeting, a Special Disclosure, in accordance with the Code of Conduct. This provides an exemption in this instance and as such he will remain in the Meeting during discussion and voting on the matter.
Councillor Atkins declared a pecuniary interest in Item 1 Post Exhibition - Our Fairer Future Plan - Council's approach for new housing in the Inner West due to their principal residence being within the areas identified in Item 1. Due to the significant portion of the LGA that is impacted by the proposed reforms, they made, prior to the Meeting, a Special Disclosure in accordance with the Code of Conduct. This provides an exemption in this instance and as such they will remain in the Meeting during discussion and voting on the matter.
Councillor Barlow declared pecuniary interest in Item 1 Post Exhibition - Our Fairer Future Plan - Council's approach for new housing in the Inner West due to her principal residence and the principal residence of her associates being within the areas identified in Item 1. Due to the significant portion of the LGA that is impacted by the proposed reforms, she made, prior to the meeting, Special Disclosures, in accordance with the Code of Conduct. This provides an exemption in this instance and as such she will remain in the Meeting during discussion and voting on the matter.
Councillor Antoniou declared a pecuniary interest in Item 1 Post Exhibition - Our Fairer Future Plan - Council's approach for new housing in the Inner West due to her principal residence being within the areas identified in Item 1. Due to the significant portion of the LGA that is impacted by the proposed reforms, she made, prior to the Meeting, a Special Disclosure in accordance with the Code of Conduct. This provides an exemption in this instance and as such she will remain in the Meeting during discussion and voting on the matter.
Councillor Raciti declared a pecuniary interest in Item 1 Post Exhibition - Our Fairer Future Plan - Council's approach for new housing in the Inner West due to her principal residence and the principal residence of her associates being within the areas identified in Item 1. Due to the significant portion of the LGA that is impacted by the proposed reforms, she made, prior to the Meeting, Special Disclosures in accordance with the Code of Conduct. This provides an exemption in this instance and as such she will remain in the Meeting during discussion and voting on the matter.
Councillor Raciti declared a significant, pecuniary interest in Item 1 Post Exhibition - Our Fairer Future Plan - Council's approach for new housing in respect of motion 2 Haberfield which corresponds to Officer recommendation 2 Haberfield (which was later considered by Council as motion 8). She will leave the meeting during discussion and voting on Item 1 regarding Haberfield.
Councillor Macri declared a pecuniary interest in Item 1 Post Exhibition - Our Fairer Future Plan - Council's approach for new housing due the principal residence of his associates being within the areas identified in Item 1. Due to the significant portion of the LGA that is impacted by the proposed reforms, he made, prior to the meeting, Special Disclosures, in accordance with the Code of Conduct. This provides an exemption in this instance and as such he will remain in the Meeting during discussion and voting on the matter.
Councillor Macri declared a significant, pecuniary interest in Item 1 Post Exhibition - Our Fairer Future Plan - Council's approach for new housing in respect of motion 4 Marrickville which corresponds to Officer Recommendation 4 Marrickville as he has property interests in Marrickville (which was later considered by Council as motion 10). He will leave the meeting during the discussion and voting on Item 1 regarding Marrickville.
Councillor Smith declared a pecuniary interest in Item 1 Post Exhibition - Our Fairer Future Plan - Council's approach for new housing due to her principal residence and the principal residence of her associates being within the areas identified in Item 1. Due to the significant portion of the LGA that is impacted by the proposed reforms, she made, prior to the meeting, Special Disclosures, in accordance with the Code of Conduct. This provides an exemption in this instance and as such she will remain in the Meeting during discussion and voting on the matter.
Councillor Fergusson declared a pecuniary interest in Item 1 Post Exhibition - Our Fairer Future Plan - Council's approach for new housing due to her principal residence and the principal residence of her associates being within the areas identified in Item 1. Due to the significant portion of the LGA that is impacted by the proposed reforms, she made, prior to the meeting, Special Disclosures in accordance with the Code of Conduct. This provides an exemption in this instance and as such she will remain in the Meeting during discussion and voting on the matter.
Councillor Howard declared a pecuniary interest in Item 1 Post Exhibition - Our Fairer Future Plan - Council's approach for new housing due to his principal residence and the principal residence of his associate being within the areas identified in Item 1. Due to the significant portion of the LGA that is impacted by the proposed reforms, he made, prior to the meeting, Special Disclosures in accordance with the Code of Conduct. This provides an exemption in this instance and as such he will remain in the Meeting during discussion and voting on the matter.
Councillor Clay pecuniary interest in Item 1 Post Exhibition - Our Fairer Future Plan - Council's approach for new housing due to her principal residence being within the areas identified in Item 1. Due to the significant portion of the LGA that is impacted by the proposed reforms, she made, prior to the meeting, a Special Disclosure, in accordance with the Code of Conduct. This provides an exemption in this instance and as such she will remain in the Meeting during discussion and voting on the matter.
Councillor Scott declared a pecuniary interest in Item 1 Post Exhibition - Our Fairer Future Plan - Council's approach for new housing due to her principal residence and the principal residence of her associates being within the areas identified in Item 1. Due to the significant portion of the LGA that is impacted by the proposed reforms, she made, prior to the meeting, Special Disclosures in accordance with the Code of Conduct. This provides an exemption in this instance and as such she will remain in the Meeting during discussion and voting on the matter.
Councillor Carlisle declared a pecuniary interest in Item 1 Post Exhibition - Our Fairer Future Plan - Council's approach for new housing due to her principal residence being within the areas identified in Item 1. Due to the significant portion of the LGA that is impacted by the proposed reforms, she made, prior to the meeting, a Special Disclosure in accordance with the Code of Conduct. This provides an exemption in this instance and as such she will remain in the Meeting during discussion and voting on the matter.
Councillor D’Arienzo declared a pecuniary interest in Item 1 Post Exhibition - Our Fairer Future Plan - Council's approach for new housing due to her principal residence and the principal residence of her associate being within the areas identified in Item 1. Due to the significant portion of the LGA that is impacted by the proposed reforms, she made, prior to the meeting, Special Disclosures in accordance with the Code of Conduct. This provides an exemption in this instance and as such she will remain in the Meeting during discussion and voting on the matter.
The Mayor, Councillor Byrne, declared a pecuniary interest in Item 1 Post Exhibition - Our Fairer Future Plan - Council's approach for new housing due to his principal residence and the principal residence of his associate being within the areas identified in Item 1. Due to the significant portion of the LGA that is impacted by the proposed reforms, he made, prior to the meeting, Special Disclosures in accordance with the Code of Conduct. This provides an exemption in this instance and as such he will remain in the Meeting during discussion and voting on the matter.
The Mayor, Councillor Byrne declared a significant, non-pecuniary interest in Item 1 Post Exhibition - Our Fairer Future Plan - Council's approach for new housing in respect of motions 3 Leichhardt and 5 Rozelle as he has a close personal relationship with persons with property interests in Leichhardt and Rozelle, which corresponds with Officer recommendations 3 Leichhardt and 5 Rozelle (which was later considered by Council as motions 9 and 11). He considers this a significant, non-pecuniary interest as it is a personal relationship that does not involve a pecuniary interest for him for the purposes of the Code of Conduct, but could give rise to a perception that he might be influenced by a private interest when considering this matter. Out of an abundance of caution and in the interest of full transparency, he will leave the meeting during the discussion and voting on Item 1 regarding Leichhardt and Rozelle.
The Director Community declared a significant, pecuniary interest in Item 1 Post Exhibition - Our Fairer Future Plan - Council's approach for new housing due to her principal residence being within the area identified in item 1. She advised Council that he has not participated in the preparation of the report or discussions in relation to Item 1. She will leave the meeting during discussion and voting on the matter.
The General Manager declared a significant, pecuniary interest in Item 1 Post Exhibition - Our Fairer Future Plan - Council's approach for new housing due to the principal residence of his associate being within the area identified in item 1. He advised Council that he has not participated in the preparation of the report or discussions in relation to Item 1. He will leave the meeting during discussion and voting on the matter.
Procedural Motion: (Scott/Fergusson)
That the ABC, Central News, Channel 9, Sydney Morning Herald and News.Com be given permission to take photographs and record footage during the Council meeting.
Motion Carried
For Motion: Crs Antoniou, Atkins, Barlow, Blake, Byrne, Carlisle, Clay, D'Arienzo, Fergusson, Howard, Macri, Raciti, Scott, Smith and Tastan
Against Motion: Nil
PUBLIC FORUM
The Public Forum for this meeting was held on Monday 22 September 2025. The list of speakers are available at the end of the minutes prior to the tabled Special Disclosures.
Procedural Motion (Howard/Scott)
That Council allow the Mayor, Clr Byrne to speak for 2 additional minutes on the Byrne/D’Arienzo motion in Item 1.
Motion Carried
For Motion: Crs Antoniou, Atkins, Barlow, Blake, Byrne, Carlisle, Clay, D'Arienzo, Fergusson, Howard, Macri, Raciti, Scott, Smith and Tastan
Against Motion: Nil
Procedural Motion (Byrne/Howard)
That Council allow Clr D’Arienzo to speak for 2 additional minutes on the Byrne/D’Arienzo motion in Item 1.
Motion Carried
For Motion: Crs Antoniou, Atkins, Barlow, Blake, Byrne, Carlisle, Clay, D'Arienzo, Fergusson, Howard, Macri, Raciti, Scott, Smith and Tastan
Against Motion: Nil
Procedural Motion (Byrne/D’Arienzo)
That the meeting be adjourned for 5 minutes.
Motion Carried
For Motion: Crs Antoniou, Atkins, Barlow, Blake, Byrne, Carlisle, Clay, D'Arienzo, Fergusson, Howard, Macri, Raciti, Scott, Smith and Tastan
Against Motion: Nil
The meeting was adjourned at 7:19 pm
The meeting recommenced at 7:24 pm
Procedural Motion (Howard/D’Arienzo)
That Council allow the Mayor, Clr Byrne to speak for 2 additional minutes on the right of reply on the Byrne/D’Arienzo motion in Item 1.
Motion Carried
For Motion: Crs Antoniou, Atkins, Barlow, Blake, Byrne, Carlisle, Clay, D'Arienzo, Fergusson, Howard, Macri, Raciti, Scott, Smith and Tastan
Against Motion: Nil
Procedural Motion (D’Arienzo/Howard)
That Council allow the Mayor, Clr Byrne to speak for 2 additional minutes on the right of reply on the Byrne/D’Arienzo motion in Item 1.
Motion Carried
For Motion: Crs Antoniou, Atkins, Barlow, Blake, Byrne, Carlisle, Clay, D'Arienzo, Fergusson, Howard, Macri, Raciti, Scott, Smith and Tastan
Against Motion: Nil
|
C0925(2) Item 1 Post Exhibition - Our Fairer Future Plan - Council's approach for new housing in the Inner West |
||||||||||
|
1. That Council endorse Our Fairer Future Plan - Council's approach for new housing in the Inner West, subject to the post-exhibition amendments detailed in this report and Attachments 1 – 3 and as amended, and submit it to NSW Government for implementation via a State-led fast track approval pathway for the following suburbs: a) Annandale, b) Ashbury, c) Ashfield, subject to the following amendments:
1. Defer the Iron Cove Sub-Precinct to be incorporated into the review of Croydon Housing Investigation Area.
2. Remove any proposed uplift and retain the existing Inner West Local Environmental Plan 2022 planning controls for the following areas: A. Parts of Western Spine Sub-Precinct along Milton Street, Blackwood Avenue, Park Lane and Arthur Street including:
B. Parts of Southern Village Sub-Precinct along Brunswick Parade, Arthur Street, and Shepherd Street including:
C. Retain the existing heritage conservation area (Federal Fyle) for 1 Ormond Street and 8A/ 8B -14 Bruce Street, Ashfield in the Ashfield East Sub-Precinct and remove any proposed uplift from these sites.
3. That Council undertake investigations for new housing opportunities as part of Phase 2 of Our Fairer Future Plan Council’s approach for new housing in the Inner West for the following areas: A. Ashfield – i. Areas identified as ‘Potential Future Opportunity Sites’ in the exhibited Masterplan including 20-28 Loftus Street, and 2-28 Thomas Street Ashfield – undertake further flooding studies for these areas. ii. Undertake further investigation of the heritage significance of the Federal Fyle Heritage Conservation Area at 8A to 14 Bruce Street and 1 Ormond Street, Ashfield, to consider sympathetic development and adaptive uplift in the Ashfield East Sub-Precinct iii. Consideration of the eastern side of Carlisle Street, Ashfield for potential uplift in the Southern Village sub-precinct. B. Summer Hill - 35 - 37 Prospect Road – review proposed planning controls to be in line with the remainder of the block between 19-33 Prospect Road, Summer Hill.
d) Balmain, e) Balmain East, f) Birchgrove, g) Camperdown, h) Croydon, i) Croydon Park, j) Dulwich Hill, subject to the following amendments:
1. Remove any proposed uplift and retain the existing Inner West Local Environmental Plan 2022 planning controls for the following area: A. Parts of Dulwich Hill North Sub-Precinct including:
2. That Council undertake investigations for new housing opportunities as part of Phase 2 of Our Fairer Future Plan Council’s approach for new housing in the Inner West for the following areas: A. Dulwich Hill – Loftus Street.
k) Enmore, l) Hurlstone Park, m) Lewisham, n) Lilyfield, o) Newtown, p) Petersham, q) Stanmore, r) Summer Hill, s) Sydenham, and t) Tempe.
2. That Council note the independent advice and modelling from Atlas Economics that requiring 10% affordable housing contribution on private land would require a scale of development of up to 40-storeys on main streets and approximately 20-storeys on residential streets, representing an unacceptable impact on the character and heritage of Inner West neighbourhoods.
3. That Council note the independent advice and modelling from Atlas Economics that requiring 30% contribution on private land would require even larger scale of development as well as public subsidies to private developers.
4. That Council note that Council has secured 220 new units of social housing, to be dedicated as rental homes for essential workers, through our partnership with NSW Government to redevelop the Westconnex dive site in Camperdown.
a) Adoption of the officers recommendation for a 2% affordable housing contribution, moving to 3% after 3 years, across all privately owned land in upzoned areas; b) Consideration of a 1% affordable housing contribution on all non-residential lands within the local government area, with the plan for phasing and introduction of this to be included in the studies for Stage 2 of the Our Fairer Future Plan; and c) Inclusion of a 20% affordable housing contribution for any additional proposed floor space beyond the baseline provision, in upzoned areas. This is to be based on the City of Sydney's policy and to be determined through Stage 2 investigations of the Fairer Future Plan. i. That Officers be requested to provide urgent advice to the elected Council on what steps Council needs to make to implement this change; and ii. That Officers be delegated to commission or engage additional advice or support up to a budget of $10,000 to be funded out of contingency.
6. That Council in addition, implement following affordable housing provisions, (noting that these actions have not been implemented in any Council in NSW): a) Progress with the potential conversion of 5 identified Council carparks to social housing, noting the estimated potential yield of social housing dwellings from these sites is 351 homes. The policy is to be premised on replacing all existing public parking spaces within the redeveloped site; b) Allowance for the conversion of lands owned by churches and faith based charities for residential development in return for 30% of the housing being social housing; and c) Seek a compact with the NSW Government to achieve our goal of 1000 new social housing dwellings over the next 10 years (noting that the aforementioned 220 units at the Camperdown WestConnex dive site have already been committed to).
7. That Council endorse the public domain and infrastructure works proposed in the Our Fairer Future Plan as indicative concepts only, with prioritisation of public benefits to be determined through the pending review of the Inner West Development Control Plan and the Inner West Developer Contributions Plan.
Motion Carried For Motion: Crs Byrne, Carlisle, Clay, D'Arienzo, Fergusson, Howard, Scott and Smith Against Motion: Crs Antoniou, Atkins, Barlow, Blake, Macri, Raciti and Tastan
Amendment (Antoniou/Barlow)
That Council endorse Our Fairer Future Plan – with the following amendment: a) Where a residential development is proposed that is in excess of the zoning instrument and additional height or density is created, update the planning proposal to require 20% of the additional height or density to be captured as an affordable housing contribution.
The Mayor ruled this amendment out of order as it is substantially the same as the Byrne/D’Arienzo motion.
Amendment (Macri/Raciti)
That Council conduct a review into the probity of the process of developing and consulting on the Plan has been held. The probity review is to be conducted by a third part independent of repute such as a retired judge or Land and Environment Court Commissioner. Following the review a report to Council is required setting out: a) How the areas for uplift were identified; b) The tools of investigation and analysis used to determine if a site is in or out of consideration for uplift; and c) The role both officers of Council and Councillors played in bringing Our Fairer Future Plan to adoption.
Motion Lost For Motion: Crs Macri and Raciti Against Motion: Crs Antoniou, Atkins, Barlow, Blake, Byrne, Carlisle, Clay, D'Arienzo, Fergusson, Howard, Scott, Smith and Tastan
Procedural Motion (Byrne/D’Arienzo)
That the meeting be adjourned for 10 minutes.
Motion Carried For Motion: Crs Antoniou, Atkins, Barlow, Blake, Byrne, Carlisle, Clay, D'Arienzo, Fergusson, Howard, Macri, Raciti, Scott, Smith and Tastan Against Motion: Nil
The meeting was adjourned at 8.33pm
The meeting recommenced at 8.47pm
Councillor Raciti left the Meeting at 8:47 pm as she declared a significant, pecuniary interest in Haberfield.
Motion: (Carlisle/D’Arienzo)
8. That Council endorse Our Fairer Future Plan - Council's approach for new housing in the Inner West, subject to the post-exhibition amendments detailed in this report and Attachment 1 – 3, and submit it to NSW Government for implementation via a State-led fast track approval pathway for: a) Haberfield
Motion Carried For Motion: Crs Byrne, Carlisle, Clay, D'Arienzo, Fergusson, Howard, Scott and Smith Against Motion: Crs Antoniou, Atkins, Barlow, Blake, Macri and Tastan Absent: Cr Raciti
Councillor Raciti returned to the Meeting at 8:48 pm.
The Mayor, Councillor Byrne left the Meeting at 8:49 pm and vacated the chair as he declared a significant, non-pecuniary interest as he has a close personal relationship with persons with property interests in Leichhardt. The Deputy Mayor, Councillor Chloe Smith assumed the chair.
Motion: (Scott/Carlisle)
9. That Council endorse Our Fairer Future Plan - Council's approach for new housing in the Inner West, subject to the post-exhibition amendments detailed in this report and Attachment 1 – 3 and as amended, and submit it to NSW Government for implementation via a State-led fast track approval pathway for: a) Leichhardt, subject to the following amendments:
1. Investigate the following actions as part of the preparation of Phase 2 of the Our Fairer Future Plan: A. Review Excelsior Heritage Conservation area (HCA) of the Inner West Local Environmental Plan (IWLEP) 2022, with the intent to: i. remove sections of the HCA along Norton Street and Renwick Street and consider appropriate uplift; and ii. expand the HCA to include Cary Street.
B. Review the Whaleyborough Estate Heritage Conservation Area of the IWLEP 2022, with the intent to remove sections of the HCA along Macauley Street and consider appropriate uplift.
2. In stage 2, undertake technical studies including flooding and heritage around the following sites to create new housing opportunities in the following precincts: A. Leichhardt Marketplace; B. Marion, Hawthorne and Leichhardt North Light Rail Stations; and C. Marion Street and Norton Street retail and commercial precincts.
3. Review the heritage significance of the former Leichhardt SRA Tram Shed, located at 25 Derbyshire Road, Leichhardt, with a view to delisting the sheds and identifying appropriate community use for the site.
Motion Carried For Motion: Crs Carlisle, Clay, D'Arienzo, Fergusson, Howard, Macri, Raciti, Scott and Smith Against Motion: Crs Antoniou, Atkins, Barlow, Blake and Tastan Absent: Cr Byrne
Amendment: (Scott/Carlisle)
9. That Council endorse Our Fairer Future Plan - Council's approach for new housing in the Inner West, subject to the post-exhibition amendments detailed in this report and Attachment 1 – 3 and as amended, and submit it to NSW Government for implementation via a State-led fast track approval pathway for: a) Leichhardt, subject to the following amendments:
1. Investigate the following actions as part of the preparation of Phase 2 of the Our Fairer Future Plan: A. Review Excelsior Heritage Conservation area (HCA) of the Inner West Local Environmental Plan (IWLEP) 2022, with the intent to: i. remove sections of the HCA along Norton Street and Renwick Street and consider appropriate uplift ii. expand the HCA to include Cary Street.
B. Review the Whaleyborough Estate Heritage Conservation Area of the IWLEP 2022, with the intent to remove sections of the HCA along Macauley Street and consider appropriate uplift.
Motion Carried For Motion: Crs Carlisle, Clay, D'Arienzo, Fergusson, Howard, Raciti, Scott and Smith Against Motion: Crs Antoniou, Atkins, Barlow, Blake, Macri and Tastan Absent: Cr Byrne
As the Amendment was carried, it was incorporated into the Primary Motion.
Amendment (Scott/Clay)
9. That Council endorse Our Fairer Future Plan - Council's approach for new housing in the Inner West, subject to the post-exhibition amendments detailed in this report and Attachment 1 – 3 and as amended, and submit it to NSW Government for implementation via a State-led fast track approval pathway for: a) Leichhardt, subject to the following amendments:
2. In stage 2, undertake technical studies including flooding and heritage around the following sites to create new housing opportunities in the following precincts: A. Leichhardt Marketplace B. Marion, Hawthorne and Leichhardt North Light Rail Stations C. Marion Street and Norton Street retail and commercial precincts.
Motion Carried For Motion: Crs Carlisle, Clay, D'Arienzo, Fergusson, Howard, Macri, Raciti, Scott and Smith Against Motion: Crs Antoniou, Atkins, Barlow, Blake and Tastan Absent: Cr Byrne
As the Amendment was carried, it was incorporated into the Primary Motion.
Amendment (Scott/Clay)
9. That Council endorse Our Fairer Future Plan - Council's approach for new housing in the Inner West, subject to the post-exhibition amendments detailed in this report and Attachment 1 – 3 and as amended, and submit it to NSW Government for implementation via a State-led fast track approval pathway for: a) Leichhardt, subject to the following amendments:
3. Review the heritage significance of the former Leichhardt SRA Tram Shed, located at 25 Derbyshire Road, Leichhardt, with a view to delisting the sheds and identifying appropriate community use for the site.
Motion Carried For Motion: Crs Blake, Carlisle, Clay, D'Arienzo, Fergusson, Howard, Macri, Raciti, Scott and Smith Against Motion: Crs Antoniou, Atkins, Barlow and Tastan Absent: Cr Byrne
As the Amendment was carried, it was incorporated into the Primary Motion.
The Mayor, Councillor Byrne returned to the Meeting at 9:01 pm. The Deputy Mayor, Councillor Smith vacated the chair, and the Mayor, Councillor Byrne assumed the chair.
Councillor Macri left the Meeting at 9:01 pm as he declared a significant, pecuniary interest he has property interests in Marrickville.
Councillor Carlisle left the Meeting at 9:01 pm as she declared a significant, pecuniary interest in Marrickville.
Procedural Motion (Smith/Byrne)
That Council allow the Mayor, Clr Byrne to speak for 2 additional minutes on the Howard/Byrne motion in Item 1.
Motion Carried For Motion: Crs Antoniou, Atkins, Barlow, Blake, Byrne, Clay, D'Arienzo, Fergusson, Howard, Raciti, Scott, Smith and Tastan Against Motion: Nil Absent: Crs Carlisle and Macri
Motion: (Howard/Byrne)
10. That Council endorse Our Fairer Future Plan - Council's approach for new housing in the Inner West, subject to the post-exhibition amendments detailed in this report and Attachments 1 – 3 and as amended below, submit it to NSW Government for implementation via a State-led fast track approval pathway for: a) Marrickville, subject to the following amendments:
1. Remove any proposed uplift from the following areas and retain the existing Inner West Local Environmental Plan 2022 planning controls for: A. Parts of Illawarra Road Marrickville Sub-Precinct along Harnett Avenue and South of Warren Road including: i. 2-42 Warren Road, Marrickville ii. 294A-B Livingstone Road, Marrickville iii. 6A-50 Harnett Avenue, Marrickville iv. 1-7A Roach Street, Marrickville v. 15-35 Harnett Avenue, Marrickville vi. 1-9 View Street, Marrickville vii. 1-7 Glen Street, Marrickville
B. Parts of Illawarra Road Marrickville Sub-Precinct - North of Cary Street and South of Renwick Street towards Illawarra Road including: i. 1-15 Cary Street, Marrickville ii. 2-16 Renwick Street, Marrickville iii. 481-465 Illawarra Road, Marrickville
C. Part of Illawarra Road Marrickville Sub-Precinct - South of Grove Street and South of Myrtle Street, along Harriet Street, North of Schwebel Street, West of High Street and East of Ivanhoe Street including: i. 1-41 Grove Street, Marrickville ii. 10-20 Ivanhoe Street, Marrickville iii. 1-21 Ivanhoe Street, Marrickville iv. 25 Ruby Street, Marrickville v. 29-49 High Street, Marrickville vi. 2-6 Riverdale Avenue, Marrickville vii. 11-31 Schwebel Street, Marrickville viii. 7-25 Carrington Street, Marrickville ix. 1-26 Harriet Street, Marrickville x. 2-26 Myrtle Street, Marrickville
D. Part of Marrickville Local Centre bound by Livingstone Road, Hastings Street, Enfield Street, Woodbury Street including: i. 135-153 Livingstone Road, Marrickville ii. 1-11 Enfield Street, Marrickville iii. 1-13 Hastings Street, Marrickville iv. 7-11 Anderton Street, Marrickville v. 6-40 Anderton Street, Marrickville vi. 5-19 Harrison Street, Marrickville vii. 12-46 Harrison Street, Marrickville viii. 9-31 Woodbury Street, Marrickville
E. Part of Marrickville Local Centre Sub-Precinct – South of Graham Avenue and Yabsley Avenue, and R3 block bound by Lilydale Street, Petersham Road and Stanley Street including: i. 1-21 Yabsley Avenue, Marrickville ii. 154-158 Livingstone Road, Marrickville iii. 2-20 Graham Avenue, Marrickville iv. 28-40 Lilydale Street, Marrickville v. 31 Lilydale Street, Marrickville vi. 2-14 Stanley Street, Marrickville
F. Not part of any Sub-Precinct. Block bound by Shaw Street, Addison Road, Oxford Street, Newington Road and Bright Street including: i. 1-21 Shaw Street, Petersham ii. 2-4 Oxford Street, Petersham iii. 2-28 Albert Street, Petersham iv. 15-19 Belgrave Street, Petersham v. 22-24 Belgrave Street, Petersham vi. 223-275 Addison Road, Petersham vii. 1-35 Albert Street, Petersham viii. 2-40 John Street, Petersham ix. 1-29 John Street, Petersham x. 1-36 William Street, Petersham xi. 2-32 Bright Street, Petersham xii. 142-146A Newington Road, Petersham
G. Part of Marrickville Local Centre Sub-Precinct – Key Site 6 - Blocks along Woodbury Street towards Marrickville Road and lots facing Marrickville Road including: i. 365-359 Marrickville Road & 2-6 Woodbury Street, Marrickville.
H. Part of Marrickville Local Centre Sub-Precinct – Lots on the southside facing Marrickville Rd between Livingstone Road and Anderton Street including: i. 394-410 Marrickville Road, Marrickville
2. Defer the following areas from Our Fairer Future Plan Phase 1 for further investigation in Phase 2 of Our Fairer Future Plan: A. Key Site 6 along Marrickville Road and Woodbury Street, Marrickville to enable better transitions, further community consultation and maximise opportunities for proposed open space. B. 394-410 Marrickville Road, Marrickville to enable better transitions to David Street Heritage Conservation Area and potential consideration of a new key site at 400 Marrickville Road, Marrickville for a potential community facility or open space
3. Revise the Design Guide which will inform the Inner West Development Control Plan (DCP) to support better transitions between the proposed high, medium and low-density areas in Marrickville. A. Consider mechanisms to incentivise the delivery of public parking by private developers in the Marrickville town centre as part of review of any planning agreements and public domain plans. B. Commence work on the Marrickville South Flood Study as soon as practicable, reporting to the Flood Management Advisory Committee before 31 December 2025 with a timeline and proposed program of work. C. Undertake heritage investigations for the below areas as part of Phase 2 of Our Fairer Future Plan - Council’s approach for new housing in the Inner West with the intention to: i. Review the heritage significance of 13 Beauchamp Street, Marrickville and whether it still warrants listing as a heritage item ii. Review potential heritage significance for listing Warren Estate as a new Heritage Conservation Area in the Inner West LEP 2022 for the streets which are identified to have high heritage value.
Motion Carried For Motion: Crs Byrne, Clay, D'Arienzo, Fergusson, Howard, Scott and Smith Against Motion: Crs Antoniou, Atkins, Barlow, Blake, Raciti and Tastan Absent: Crs Carlisle and Macri
Councillor Byrne left the Meeting at 9:27 pm and vacated the chair as he declared a significant, non-pecuniary interest as he has a close personal relationship with persons with property interests in Rozelle. The Deputy Mayor, Councillor Chloe Smith assumed the chair.
Councillor Carlisle returned to the Meeting at 9:27 pm.
Councillor Macri returned to the Meeting at 9:27 pm.
Motion: (Scott/D’Arienzo)
11. That Council endorse Our Fairer Future Plan - Council's approach for new housing in the Inner West, subject to the post-exhibition amendments detailed in this report and Attachment 1 – 3, and submit it to NSW Government for implementation via a State-led fast track approval pathway for: a) Rozelle
Motion Carried For Motion: Crs Carlisle, Clay, D'Arienzo, Fergusson, Howard, Macri, Raciti, Scott and Smith Against Motion: Crs Antoniou, Atkins, Barlow, Blake and Tastan Absent: Cr Byrne
Councillor Carlisle left the Meeting at 9:28 pm as she declared a significant, pecuniary interest in St Peters.
The Mayor, Councillor Byrne returned to the Meeting at 9:28 pm. The Deputy Mayor, Councillor Smith vacated the chair, and the Mayor assumed the chair.
Motion: (Howard/D’Arienzo)
12. That Council endorse Our Fairer Future Plan - Council's approach for new housing in the Inner West, subject to the post-exhibition amendments detailed in this report and Attachment 1 – 3, and submit it to the NSW Government for implementation via a State-led fast track approval pathway for: a) St Peters
Motion Carried For Motion: Crs Byrne, Clay, D'Arienzo, Fergusson, Howard, Macri, Raciti, Scott and Smith Against Motion: Crs Antoniou, Atkins, Barlow, Blake and Tastan Absent: Cr Carlisle
Councillor Carlisle returned to the Meeting at 9:29 pm.
Motion: (Byrne/D’Arienzo)
14. That Council immediately request the NSW Government to: a) Remove the application of the Transport Oriented Development (TOD) and the Low- and Mid-Rise Housing (LMRH) reforms from the Inner West Local Government Area; b) Replace these reforms with Our Fairer Future Plan - Council's approach for new housing in the Inner West (as amended post-exhibition); and c) Decline State Significant Development Applications using the TOD or LMRH controls until Our Fairer Future Plan has been implemented.
15. That the Croydon Housing Investigation Area Masterplan be reviewed following discussions with Burwood Council and brought back to Council for further consideration and re-exhibition.
16. That in order to support Our Fairer Future Plan the following policy work commence to be brought to Council for consideration prior to exhibition: a) A new Local Infrastructure Delivery Plan and update to the Inner West Contributions Plan to cater for the increased local infrastructure demands across the LGA; b) A harmonised Development Control Plan based on both feedback from development stakeholders and the Draft Design Guides; and c) The Inner West Affordable Housing Policy be reviewed as outlined in Attachment 1 Engagement Outcomes Report with the addition of a definition of affordable housing as per the Housing SEPP as housing for very low, low and moderate income households, with tenants not to pay more than 30% of their gross household income in rent, and consideration be given to: i. Investigate the redevelopment of Council Service Centres – development scope to include investigation of 100% residential units to be made available for social and essential worker housing while being retained in council’s ownership.
17. That Council write to the NSW Government state agencies and public authorities to seek commitment for state infrastructure delivery, for schools, public transport, regional open space, health infrastructure and utilities, to be aligned with the timing and scale of housing development, and that Inner West community wellbeing, equity, and sustainability are prioritised. Motion Carried For Motion: Crs Byrne, Carlisle, Clay, D'Arienzo, Fergusson, Howard, Macri, Raciti, Scott and Smith Against Motion: Crs Antoniou, Atkins, Barlow, Blake and Tastan
Councillor Raciti left the Meeting at 9:33 pm.
Amendment (Atkins/Antoniou)
Insert a new point 14 as follows and renumber accordingly:
14. That Council enshrine the dwelling mix table outlined in the draft plan within the LEP rather than the DCP.
Motion Lost For Motion: Crs Antoniou, Atkins, Barlow, Blake and Tastan Against Motion: Crs Byrne, Carlisle, Clay, D'Arienzo, Fergusson, Howard, Macri, Scott and Smith Absent Cr Raciti
Councillor Raciti returned to the Meeting at 9:35 pm.
Amendment (Atkins/Barlow)
Amendment to point 16:
16. That in order to support Our Fairer Future Plan the following policy work commence to be brought to Council for consideration prior to exhibition: a) A new Local Infrastructure Delivery Plan that prioritises Early Childhood Education and Care facilities in suburbs of identified need and update to the Inner West Contributions Plan to cater for the increased local infrastructure demands across the LGA.
Motion Lost For Motion: Crs Antoniou, Atkins, Barlow, Blake and Tastan Against Motion: Crs Byrne, Carlisle, Clay, D'Arienzo, Fergusson, Howard, Macri, Raciti, Scott and Smith
Amendment (Atkins/Barlow)
Amendment to point 16:
16. That in order to support Our Fairer Future Plan the following policy work commence to be brought to Council for consideration prior to exhibition: b) A harmonised Development Control Plan based on both feedback from development stakeholders and the Draft Design Guides; that includes i. investigation of Liveable Housing Design Guidelines with respect to setting an appropriate requirement for Silver and Platinum Standards. ii. investigation of a clause requiring green roofs on new buildings over 8 storeys.
Motion Lost For Motion: Crs Antoniou, Atkins, Barlow, Blake and Tastan Against Motion: Crs Byrne, Carlisle, Clay, D'Arienzo, Fergusson, Howard, Macri, Raciti, Scott and Smith
Councillor Barlow left the Meeting at 9:43 pm.
Councillor Barlow returned to the Meeting at 9:45 pm.
Amendment (Macri/Raciti)
Amendment to point 16:
16. That in order to support Our Fairer Future Plan the following policy work commence to be brought to Council for consideration prior to exhibition: a) A new Local Infrastructure Delivery Plan and update to the Inner West Contributions Plan to cater for the increased local infrastructure demands across the LGA; b) A harmonised Development Control Plan based on both feedback from development stakeholders and the Draft Design Guides; That includes a requirement for Minimum Car Spaces at the following ratio
c) The Inner West Affordable Housing Policy be reviewed as outlined in Attachment 1 Engagement Outcomes Report.
Motion Lost For Motion: Crs Macri and Raciti Against Motion: Crs Antoniou, Atkins, Barlow, Blake, Byrne, Carlisle, Clay, D'Arienzo, Fergusson, Howard, Scott, Smith and Tastan
Amendment (Blake/Barlow)
That Council replace point 17 with:
17. That Council advocate to: a) The Department of Planning, Housing and Industry for a reduction in the day cap for non hosted Short Term Rental Accommodation from 180 to 90 days; b) The NSW Government to establish a partnership, jointly financed by Inner West Council and the NSW State Government to facilitate the purchase and development of Council owned affordable housing properties; c) The NSW Government public land identified in the NSW Public Land Audit that is deemed unsuitable for housing be given to local councils as opportunities to create green space; d) The NSW Government to urgently build additional crisis accommodation and emergency housing in the Inner West; e) the Federal Government to remove the capital gains tax exemption for investment properties and to cap negative gearing to one investment property; and f) all tiers of Government seeking a commitment for 100% public housing on public land and advocate against the privatisation of public land.
Motion Lost For Motion: Crs Antoniou, Atkins, Barlow, Blake and Tastan Against Motion: Crs Byrne, Carlisle, Clay, D'Arienzo, Fergusson, Howard, Macri, Raciti, Scott and Smith |
|
C0925(2) Item 4 Advice - Post Exhibition - Our Fairer Future Plan - Council's Approach for New Housing in the Inner West |
|
That Council receive and note the report.
Motion Carried For Motion: Crs Antoniou, Atkins, Barlow, Blake, Byrne, Carlisle, Clay, D'Arienzo, Fergusson, Howard, Macri, Raciti, Scott, Smith and Tastan Against Motion: Nil |
Meeting closed at 10:11 pm.
PUBLIC SPEAKERS FROM THE PUBLIC FORUM HELD ON 22 SEPTEMBER 2025:
|
Item #
|
Speaker |
Suburb |
|
Item 1: |
Kitty Farrell Tim Bradshaw Giovanni Cirillo Leilana Levy Bailey Riley Justin Simon Emily Lockwood Andrew Leach Tom Schinckel Michael Clayden Harrison Chudleigh Stuart Gibson Kristine Gibson Michael Lindsay Catherine Duff Aks Walia Daniel Holland Lucy Langford Evan Mistilis Julia Richardson Bruce Scott Ann King Andrew Harvey Edward Dann Emma Norton Leah Horsley Corey Struve Margaret Roberts Eugenie Wilson John Adamiec Dan Conway Cheryl Pomering Rachel Evans Timothy Flett Benjamin Cullen Andrea Leong Heather R Davie Garry Chapman Kon Vourtzoumis Steve Salmon Bryce Carr Rob Beckett John Stamolis Cassidy Newman Greg Cheetham Mark Skelsey Marie-Louise (Doodie) Herman Dominic Behrens Morris Hanna Joan Westenberg Adam Trevorrow Carolyn Smith Andrew Mara Carmel Baker Anastasia Bennett Julian Frundt James Manche Barbara McKellar Sunny Wu Louise Appel Mick O'Flynn Hayley Spring David Pink Adam Connor Rory Frame Caroline Buckingham Mat Wilk Harris Valo Hall Greenland Jason Duda |
Dulwich Hill Dulwich Hill Marrickville Marrickville Marrickville Summer Hill Summer Hill Marrickville Edgecliff St Ives Enmore Newtown Balmain Marrickville Marrickville Erskineville Petersham Marrickville Ashfield Marrickville Leichhardt Lilyfield Dulwich Hill Enmore Earlwood Marrickville Rozelle Leichhardt Ashfield Ashfield Marrickville Petersham Marrickville North Willoughby Stanmore Marrickville Marrickville Ultimo Earlwood Marrickville Newtown Marrickville Balmain Rozelle Marrickville Dulwich Hill Leichhardt Rushcutters Bay Marrickville Summer Hill Panania Marrickville Marrickville Lewisham Leichhardt Petersham Dulwich Hill Dulwich Hill Ashfield Lilyfield Marrickville Dulwich Hill Newtown Leichhardt Marrickville Dulwich Hill Rozelle Marrickville Leichhardt Marrickville |
|
Item 2: |
Ian Dawson |
Marrickville |
|
Item 3: |
Margo Cashman |
Dulwich Hill |


















































































































